ВХОДНЫЕ ЦЕПИ И УРЧ ПРИЕМНИКА


В.Т.Поляков

Как мы уже выяснили в первой главе, для повышения чувствительности и реальной селективности гетеродинного приемника входная цепь должна обеспечивать близкий к единице коэффициент передачи мощности в рабочем диапазоне частот и как можно большее ослабление внедиапазонных сигналов. Все это - свойства идеального полосового фильтра, поэтому и выполнять входную цепь надо в виде фильтра.

Часто применяемая одноконтурная входная цепь хуже всего отвечает предъявляемым требованиям. Для увеличения селективности надо повышать нагруженную добротность контура, ослабляя его связь с антенной и смесителем или УРЧ. Но тогда почти вся мощность принимаемого сигнала будет расходоваться в контуре и лишь малая ее часть пройдет в смеситель или УРЧ. Коэффициент передачи мощности получится низким. Если же сильно связать контур с антенной и смесителем, упадет нагруженная добротность контура и он будет мало ослаблять сигналы соседних по частоте станций. А ведь рядом с любительскими диапазонами работают и очень мощные радиовещательные станции.

Одиночный входной контур в качестве преселектора можно использовать на низкочастотных KB диапазонах, где уровни сигналов достаточно велики, в простейших гетеродинных приемниках. Связь с антенной следует сделать регулируемой, а сам контур перестраиваемым, как показано на рис. 1. В случае помех от мощных станций можно ослабить связь с антенной, уменьшая емкость конденсатора С1, тем самым увеличив селективность контура и одновременно увеличив потери в нем, что эквивалентно включению аттенюатора. Суммарную емкость конденсаторов С2 и СЗ выбирают около 300...700 пФ, данные катушки зависят от диапазона.

pr-vx-1.gif
Рис.1. Одноконтурная входная цепь

Значительно лучшие результаты дают полосовые фильтры, согласованные по входу и выходу. В последние годы наметилась тенденция применять переключаемые полосовые фильтры даже на входе широкодиапазонных профессиональных связных приемников. Используют октавные (редко), полуоктавные и четвертьоктавные фильтры. Отношение верхней частоты их полосы пропускания к нижней равно соответственно 2; 1,41(корень из 2) и 1,19 (корень четвертой степени из 2). Разумеется, чем узкополоснее входные фильтры, тем помехозащищенность широкодиапазонного приемника выше, но число переключаемых фильтров значительно возрастает. Для приемников, рассчитанных только на любительские диапазоны, число входных фильтров равно числу диапазонов, а их полоса пропускания выбирается равной ширине диапазона, обычно с запасом в 10...30%.

В трансиверах полосовые фильтры целесообразно устанавливать между антенной и антенным переключателем прием/передача. Если усилитель мощности трансивера достаточно широкополосен, как, например, в случае транзисторного усилителя, его выходной сигнал может содержать много гармоник и других внедиапазоиных сигналов. Полосовой фильтр будет способствовать их подавлению. Требование близкого к единице коэффициента передачи мощности фильтра в этом случае особенно важно. Элементы фильтра должны выдерживать реактивную мощность, в несколько раз превосходящую номинальную мощность передатчика трансивера. Характеристическое сопротивление всех диапазонных фильтров целесообразно выбрать одинаковым и равным волновому сопротивлению фидера 50 или 75 Ом.

pr-vx-2.gif
Рис.2. Полосовые фильтры:
а - Г-образный; б - П-образный

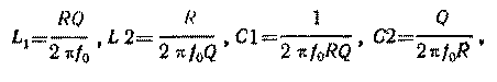
Классическая схема Г-образного полосового фильтра дана на рис.2,а. Расчет его чрезвычайно прост. Сначала определяется эквивалентная добротность Q = fo/2Df, где fo - средняя частота диапазона, 2Df - полоса пропускания фильтра. Индуктивности и емкости фильтра находятся по формулам:

Формулы

где R - характеристическое сопротивление фильтра.

На входе и выходе фильтр должен нагружаться сопротивлениями, равными характеристическому, ими могут быть входное сопротивление приемника (или выходное передатчика) и сопротивление антенны. Рассогласование до 10...20% практически мало сказывается на характеристиках фильтра, но отличие нагрузочных сопротивлений от характеристического в несколько раз резко искажает кривую селективности, в основном в полосе пропускания. Если сопротивление нагрузки меньше характеристического, ее можно подключить автотрансформаторно, к отводу катушки L2. Сопротивление уменьшится в k2 раз, где k - коэффициент включения, равный отношению числа витков от отвода до общего провода к полному числу витков катушки L2.

Селективность одного Г-образного звена может оказаться недостаточной, тогда два звена соединяют последовательно. Соединять звенья можно либо параллельными ветвями друг к другу, либо последовательными. В первом случае получается Т-образный фильтр, во втором - П-образный. Элементы L и С соединенных ветвей объединяются. В качестве примера на рис.2,б показан П-образный полосовой фильтр. Элементы L2C2 оетались прежними, а элементы продольных ветвей обьединились в индуктивность 2L и емкость С1/2. Легко видеть, что частота настройки получившегося последовательного контура (так же, как и остальных контуров фильтра) осталась прежней и равной средней частоте диапазона.

Часто при расчете узкополосных фильтров значение емкости продольной ветви С1/2 получается слишком маленьким, а индуктивности - слишком большим. В этом случае продольную ветвь можно подключить к отводам катушек L2, увеличив емкость в 1/k2 раз, а индуктивность во столько же раз уменьшив.

pr-vx-4.gif
Рис.3. Двухконтурный фильтр

В радиочастотных фильтрах бывает удобно использовать только параллельные колебательные контура, соединенные одним выводом с общим проводом. Схема двухконтурного фильтра с внешней емкостной связью показана на рис.3. Индуктивность и емкость параллельных контуров рассчитываются по формулам (1) для L2 и С2, а емкость конденсатора связи должна составить C3=C2/Q. Коэффициенты включения выводов фильтра зависит от требуемого входного сопротивления Rвх и характеристического сопротивления фильтра R: k2=Rвх/R. Коэффициенты включения с двух сторон фильтра могут быть и разными, обеспечивая согласование с антенной и входом приемника или выходом передатчика.

Для увеличения селективности можно включить по схеме рис.3 три и более одинаковых контуров, уменьшив емкости конденсаторов связи СЗ в 1,4 раза.

pr-vx-5.gif
Рис.4. Селективность трехконтурного фильтра

Теоретическая кривая селективности трехконтурного фильтра приведена на рис.4. По горизонтали отложена относительная расстройка x=2DfQ/fo, а по вертикали - ослабление, вносимое фильтром. В полосе прозрачности (x<1) ослабление равно нулю, а коэффициент передачи мощности - единице. Это понятно, если учесть, что теоретическая кривая построена для элементов без потерь, имеющих бесконечную конструктивную добротность. Реальный фильтр вносит некоторое ослабление и в полосе пропускания, что связано с потерями в элементах фильтра, главным образом в катушках. Потери в фильтре уменьшаются с увеличением конструктивной добротности катушек Q0. Например, при Q0 = 20Q потери даже в трехконтурном фильтре не превышают 1 дБ. Ослабление за пределами полосы пропускания прямо зависит от числа контуров фильтра. Для двухконтурного фильтра ослабление равно 2/3 указанного на рис.4, а для одноконтурной входной цепи - 1/3. Для П-образного фильтра рис.3,б пригодна кривая селективности рис.4 без всякой коррекции.

pr-vx-6.gif
Рис.5. Трехконтурный фильтр - практическая схема

Практическая схема трехконтурного фильтра c полосой пропускания 7,0...7,5 МГц и его экспериментально снятая характеристика показаны на рис.5 и 6 соответственно. Фильтр рассчитан по описанной методике для сопротивления R=1,3 кОм, но был нагружен на входное сопротивление смесителя гетеродинного приемника 2 кОм. Селективность немного возросла, но появились пики и провалы в полосе пропускания. Катушки фильтра намотаны виток к витку на каркасах диаметром 10 мм проводом ПЭЛ 0,8 и содержат по 10 витков. Отвод катушки L1 для согласования с сопротивлением фидера антенны 75 Ом сделан от второго витка. Все три катушки заключены в отдельные экраны (алюминиевые цилиндрические «стаканчики» от девятиштырьковых ламповых панелек). Настройка фильтра проста и сводится к настройке контуров в резонанс подстроечниками катушек.

pr-vx-7.gif
Рис.6. Измеренная кривая селективности трехконтурного фильтра.

Особо следует остановиться на вопросах получения максимальной конструктивной добротности катушек фильтров. Не следует стремиться к особой миниатюризации, поскольку добротность растет с увеличением геометрических размеров катушки. По этой же причине нежелательно использовать слишком тонкий провод. Серебрение провода дает ощутимый эффект лишь на высокочастотных KB диапазонах и на УКВ при конструктивной добротности катушки более 100. Литцендрат целесообразно применять лишь для намотки катушек диапазонов 160 и 80 м. Меньшие потери в посеребренном проводе и литцендрате связаны с тем, что высокочастотные токи не проникают в толщу металла, а протекают лишь в тонком поверхностном слое провода (так называемый скин-эффект).

Идеально проводящий экран не снижает добротности катушки и к тому же устраняет потери энергии в окружающих катушку предметах. Реальные экраны вносят некоторые потери, поэтому диаметр экрана желательно выбирать равным не менее 2-3 диаметров катушки. При этом в меньшей степени уменьшается и индуктивность. Основным же назначением экранов остается устранение паразитных связей между элементами. Бессмысленно, например, говорить о получении ослабления более 20...30 дБ, если детали фильтра не экранированы и сигнал может наводиться от входных цепей на выходные. Экран следует выполнять из хорошо проводящего материала (медь, несколько хуже алюминий). Недопустима окраска или лужение внутренних поверхностей экрана.

Перечисленные меры обеспечивают исключительно высокую добротность катушек, реализуемую, например, в спиральных резонаторах. В диапазоне 144 МГц она может достигать 700...1000. На рис.7 показана конструкция двухрезонаторного полосового фильтра диапазона 144 МГц, рассчитанного на включение в 75-омную фидерную линию. Резонаторы смонтированы в прямоугольных экранах размерами 25X25X50 мм, спаянных из листовой меди, латуни или пластинок двустороннего фольгированного стеклотекстолита. Внутренняя перегородка имеет отверстие связи размером 6X12,5 мм. На одной из торцевых стенок закреплены воздушные подстроечные конденсаторы, роторы которых соединены с экраном. Катушки резонатора бескаркасные. Они выполнены из посеребренного провода диаметром 1,5...2 мм и имеют по 6 витков диаметром 15 мм, равномерно растянутых на длину около 35 мм. Один вывод катушки припаивается к статору подстроечного конденсатора, другой - к экрану. Отводы ко входу и выходу фильтра сделаны от 0,5 витка каждой кагушки. Полоса пропускания настроенного фильтра немногим более 2 МГц, вносимые потери исчисляются десятыми долями децибела Полосу пропускания фильтра можно регулировать, изменяя размеры отверстия связи и подбирая положение отводов катушек.

pr-vx-8.gif
Рис.7. Фильтр на спиральных резонаторах

На более высокочастотных УКВ диапазонах катушку целесообразно заменить прямым отрезком провода или трубки, тогда спиральный резонатор превращается в коаксиальный четвертьволновый резонатор, нагруженный емкостью Длину резонатора можно выбрать около л/8, а недостающая до четверти длины волны длина компенсируется подстроечной емкостью.

В особо тяжелых условиях приема на KB диапазонах входной контур или фильтр гетеродинного приемника делают узкополосным, перестраиваемым. Для получения высокой нагруженной добротности и узкой полосы связь с антенной и между контурами выбирается минимальной, а для компенсации возросших потерь применяется УРЧ на полевом транзисторе. Его цепь затвора мало шунтирует контур и почти не снижает его добротности. Биполярные транзисторы в УРЧ устанавливать нецелесообразно по причине их низкого входного сопротивления и значительно большей нелинейности. Схема УРЧ показана на рис.8. Двухконтурный перестраиваемый полосовой фильтр на его входе обеспечивает всю требуемую селективность, поэтому в цепи стока транзистора включен неперестраиваемый контур L3C9 малой добротности, зашунтированный резистором R3. Этим резистором подбирают коэффициент усиления каскада. Ввиду малого усиления нейтрализации проходной емкости транзистора не требуется.

pr-vx-9.gif
Рис.8. Усилитель радиочастоты

Контур в цепи стока можно использовать и для получения дополнительной селективности, если шунтирующий резистор исключить, а для снижения усиления сток транзистора подключить к отводу контурной катушки. Схема такого УРЧ для диапазона 10 м показана на рис.9. Он обеспечивает чувствительность приемника лучше 0,25 мкВ В усилителе можно применить двухзатворные транзисторы КП306, КП350 и КП326, имеющие малую проходную емкость, что способствует устойчивости работы УРЧ с резонансной нагрузкой.

pr-vx-10.gif
Рис.9. УРЧ на двухзатворном транзисторе

Режим транзистора устанавливают подбором резисторов R1 и R3 так, чтобы ток, потребляемый от источника питания, составлял 4... 7 мА. Усиление подбирается перемещением отвода катушки L3 и при полном включении катушки достигает 20 дБ Контурные катушки L2 и L3 намотаны на кольцах К10X6X4 из феррита 30ВЧ и имеют по 16 витков провода ПЭЛШО 0,25. Катушки связи с антенной и смесителем содержат по 3-5 витков такого же провода. В усилитель легко ввести сигнал АРУ, подав его на второй затвор транзистора. При снижении потенциала второго затвора до нуля усиление уменьшается на 40...50 дБ.

Литература.

В.Т.Поляков. Радиолюбителям о технике прямого преобразования. М. 1990г.